• Предмет: Алгебра
  • Автор: serdukdasha2008
  • Вопрос задан 3 года назад

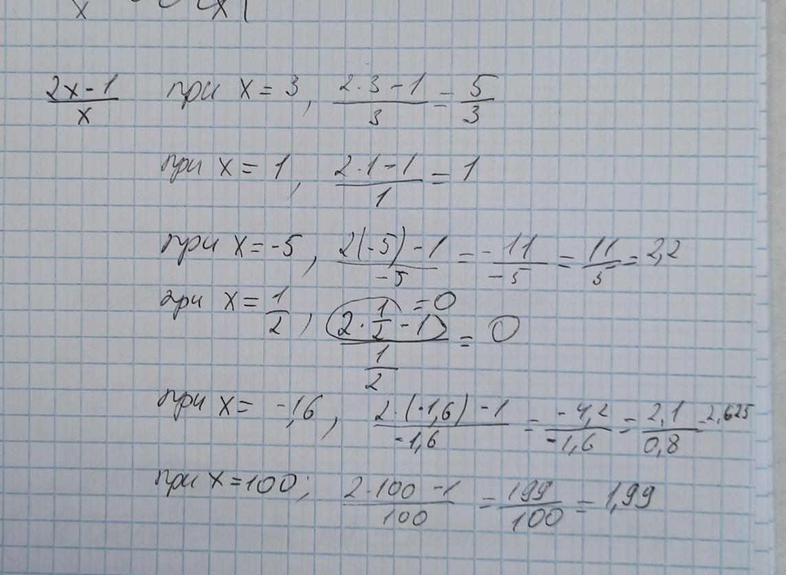
Помогите пожалуйста с 1. Даю 20 БАЛОВ​

Приложения:

Ответы

Ответ дал: pamIoIpam
1

Ответ:

тадам и еще много много символов

Приложения:
Вас заинтересует