Ответы
Ответ дал:
1
Ответ:
Объяснение:
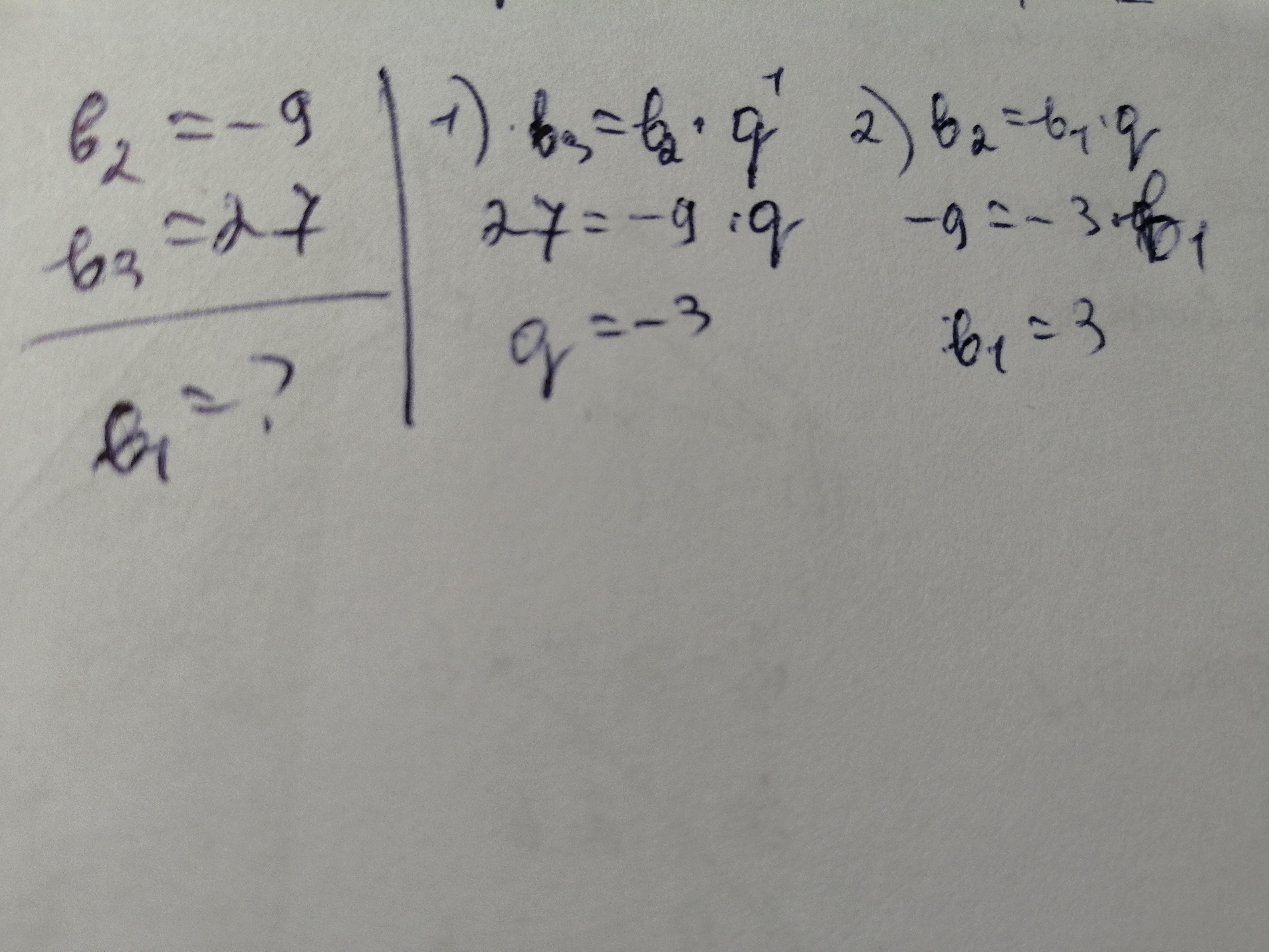
Решение дано на фото.
Приложения:

Аноним:
irinan2014 ПОЖАЛУЙСТА ПОМОГИТЕ (https://znanija.com/task/43764529)
Вас заинтересует
2 года назад
2 года назад
2 года назад
8 лет назад
9 лет назад