• Предмет: Математика
  • Автор: cenvika8
  • Вопрос задан 3 года назад

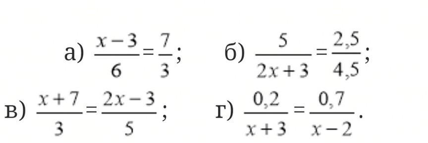
Помогите решить примеры!!!!! ​

Приложения:

Ответы

Ответ дал: ribals
1

Прикрепил фото с решением

Приложения:
Вас заинтересует