• Предмет: Математика
  • Автор: нурзи
  • Вопрос задан 3 года назад

Даю 60 балов, пожалуйста если знаете как решать, сделайте пожалуйста, срочно нужно

Приложения:

Ответы

Ответ дал: mioks
0

Ответ:

Пошаговое объяснение:

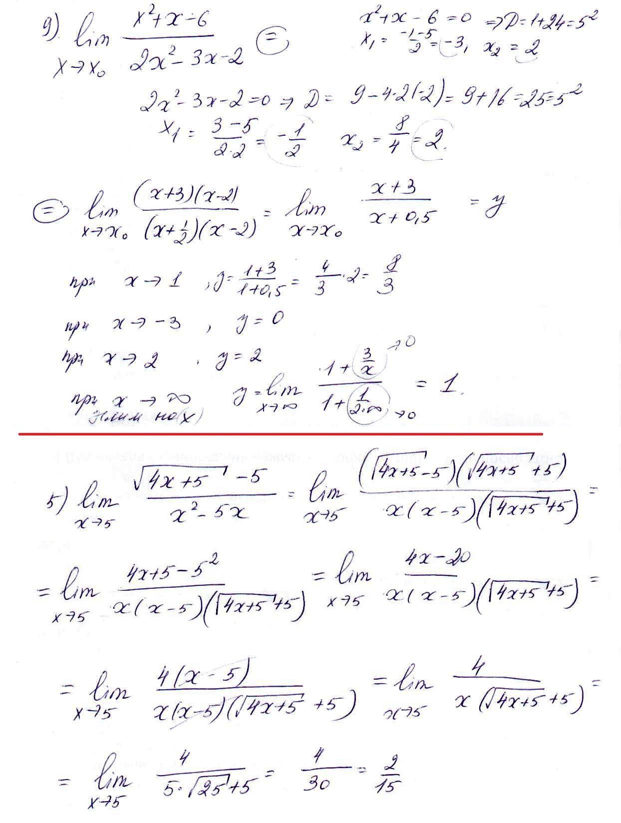
на фото

Приложения:
Вас заинтересует