• Предмет: Алгебра
  • Автор: uzepabrooo
  • Вопрос задан 3 года назад

Помогите решить........................

Приложения:

Ответы

Ответ дал: nanusia618
0

Ответ:

Объяснение:

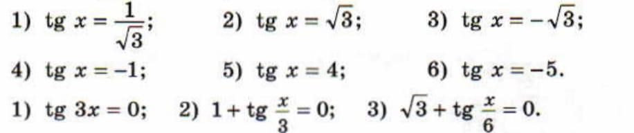
1)tg x=\frac{1}{\sqrt{3} }

x=arctg \frac{1}{\sqrt{3} }+\pik; kЄR

x=\frac{\pi }{6}+\pik; kЄR

2)tg x=\sqrt{3}

x=\frac{\pi }{3}+\pik; kЄR

3)tg x=-\sqrt{3}

x=-\frac{\pi }{3}+\pik; kЄR

4)tg x=-1

x=arctg(-1)+\pik; kЄR

arctg(-1)=-arctg 1

x=-\frac{\pi }{4}+\pik; kЄR

5)tg x =4

x=x=arctg4+\pik; kЄR

6)tg x=-5

x=-arctg5+\pik; kЄR

1)tg 3x=0

3x=+\pik; kЄR

x=\frac{\pi K}{3}; kЄR

2)1+tg\frac{x}{3}=0

tg\frac{x}{3}=-1

Вас заинтересует