• Предмет: Математика
  • Автор: timurismarovich
  • Вопрос задан 3 года назад

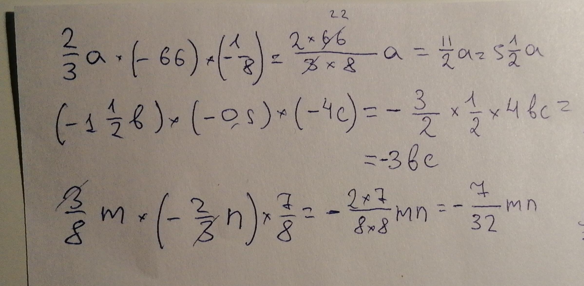
пожалуйста помогите это 3 разных примеров если что заранее спасибо.​

Приложения:

Ответы

Ответ дал: Assilem
1

Ответ:

5,5a; -3bc; - 7/32mn

Если я правильно разобрала.

Приложения:
Ответ дал: parus77
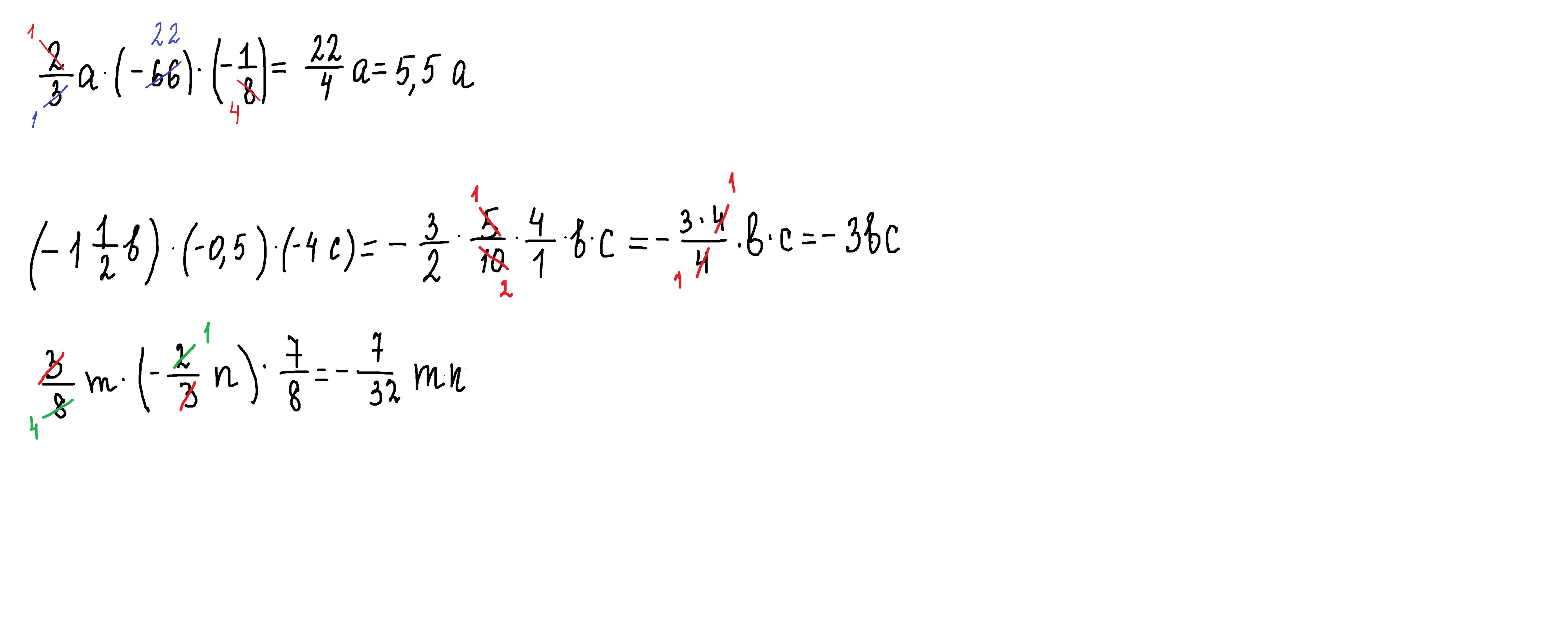
1

Ответ:

Пошаговое объяснение:

решение внизу

Приложения:
Вас заинтересует