Ответы
Ответ дал:
1
Ответ:
Объяснение:
Объяснение:
Приложения:


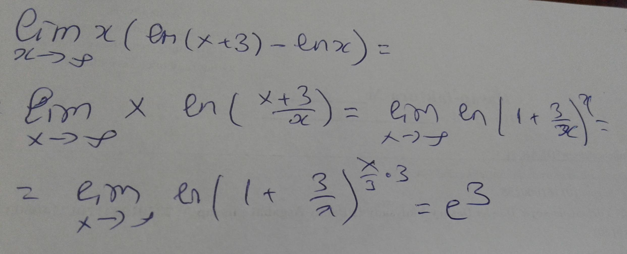
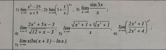
Dv1ishnik:
У меня нет слов
Вас заинтересует
2 года назад
2 года назад
2 года назад
8 лет назад