• Предмет: Математика
  • Автор: kk44dd
  • Вопрос задан 3 года назад

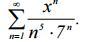
Найдите область сходимости ряда.
Буду всем сердцем благодарна тому, кто сможет это решить!)

Приложения:

Ответы

Ответ дал: pushpull
1

Ответ:

Пошаговое объяснение:

это степенной ряд. запишем его в общем виде

\displaystyle \sum\limits_{n=1}^{\infty}\frac{1}{n^5*7^n} x^n

областью сходимости степенного ряда является интервал (-R;R), где R - радиус сходимости и равен

\displaystyle R =  \lim_{n \to \infty} \frac{a_n}{a_{n+1}}

посчитаем этот предел

\displaystyle  \lim_{n \to \infty} \bigg (\frac{7*7^n(n+1)^5}{7^nn^5} \bigg )=7

таким образом, ряд является сходящимся (абсолютно) при всех x, принадлежащих интервалу (-7;7)

теперь посмотрим сходимость ряда на концах этого интервала.

пусть х = -7, тогда мы получим ряд    \displaystyle \sum \limits_{i=1}^{\infty}\frac{(-1)^n}{n^5}, это числовой знакочередующийся ряд

надо исследовать его на сходимость. исследуем по признаку Лейбница

а) по первому признаку Лейбница каждый последующий член ряда по абсолютной величине должен быть меньше предыдущего

\displaystyle 1>\frac{1}{32} >\frac{1}{243}   - выполняется

б) по второму признаку Лейбница предел ряда по модулю должен стремится к 0

\displaystyle  \lim_{n \to \infty} \frac{1}{n^5} =0 выполняется

т.е. ряд сходится x = -7 - точка сходимости

теперь пусть х = 7

тогда всё просто, как в первом случае, только ряд не знакочередующийся. он сходится x = 7 - точка сходимости

и вот получаем,

данный степенной ряд является сходящимся на интервале  [-7;7]

Вас заинтересует