• Предмет: Математика
  • Автор: aaa03
  • Вопрос задан 3 года назад

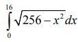
Вычислить определенные интегралы:

Приложения:

Ответы

Ответ дал: Miroslava227
1

Ответ:

\int\limits^{ 16} _ {0} \sqrt{256 -  {x}^{2} } dx \\  \\ x = 16 \sin(t)  \\ t = arcsin( \frac{x}{16} ) \\ dx = 16 \cos(t) dt \\ t1 = arcsin( \frac{16}{16} ) =  \frac{\pi}{2}  \\ t2 = arcsin(0 )= 0 \\  \\ \int\limits^{  \frac{\pi}{2}  } _ {0} \sqrt{256 - 256 \sin {}^{2} (t) }  \times 16 \cos(t) dt =  \\  = 16\int\limits^{  \frac{\pi}{2}  } _ {0}16 \cos(t)  \times  \cos( t ) dt = 256\int\limits^{  \frac{\pi}{2}  } _ {0} \cos {}^{2} (t) dt =  \\  256\int\limits^{ \frac{\pi}{2} } _ {0} \frac{1 +  \cos(2t) }{2} dt = 128\int\limits^{  \frac{\pi}{2}  } _ {0}dt + 64\int\limits^{  \frac{\pi}{2}  } _ {0} \cos(2t) d(2t) =  \\  =( 128t + 64 \cos(2t)  | ^{  \frac{\pi}{2}  } _ {0} = 64\pi + 64 \cos(\pi)  - 0 - 64 =  \\  = 64\pi - 64 - 64 = 64\pi - 128

Вас заинтересует