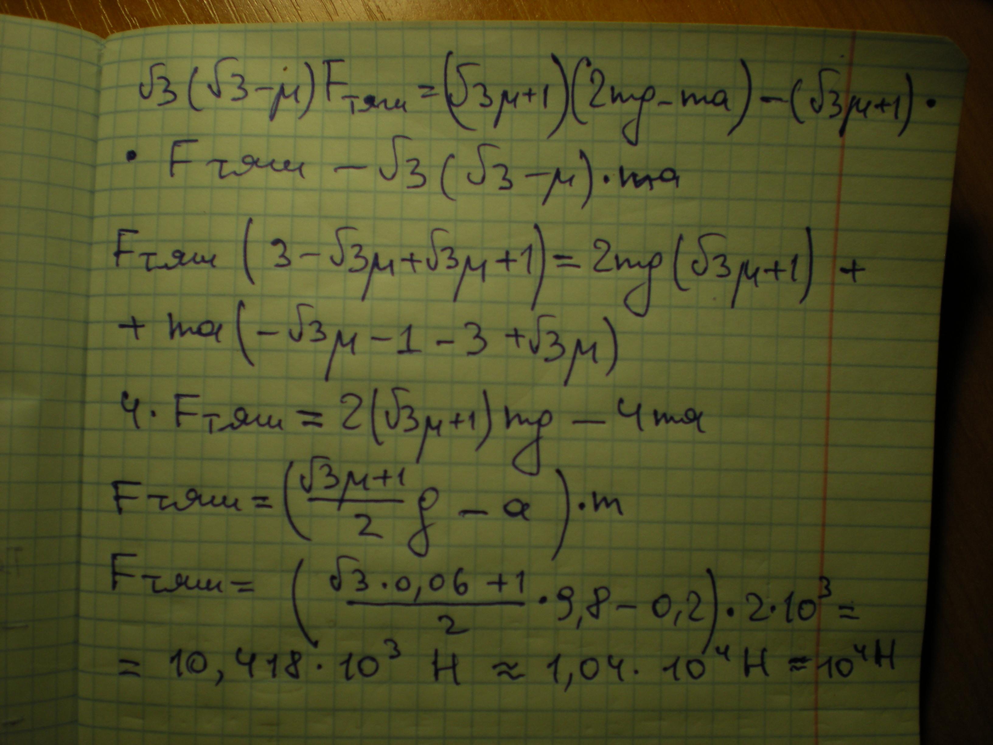
Автомобіль масою 2 т піднімається на гору під кутом 30 о . Його
швидкість постійно зменшується з прискоренням 0,2 м/с 2 . Визначте
силу тяги автомобіля, якщо коефіцієнт опору руху дорівнює 0,06.
я плачу помогитеееееееее
Ответы
Ответ дал:
1
Ответ:
по второму закону Ньютона векторная сумма всех сила равна массе, умноженной на ускорение.
Объяснение:
Приложения:



slsonya:
огромноеспасибо,а поможешь со вторым?у меня в аккаунте вопрос
Вас заинтересует
2 года назад
2 года назад
2 года назад
2 года назад
8 лет назад
9 лет назад
9 лет назад