• Предмет: Математика
  • Автор: Аноним
  • Вопрос задан 3 года назад

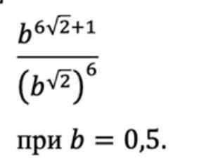
помогите пожалуйста (математика)​

Приложения:

Ответы

Ответ дал: natalyabryukhova
6

Ответ:

Пошаговое объяснение:

\frac{b^{6\sqrt{2}+1 }}{(b^{\sqrt{2} })^6} =\frac{b*b^{6\sqrt{2} }}{b^{6\sqrt{2} }} =b=0,5


Аноним: помогите пожалуйста
Вас заинтересует