• Предмет: Математика
  • Автор: wesnabest
  • Вопрос задан 3 года назад

Срочно плиз. Дам 50 баллов за решение хотя бы 5 задач.

Приложения:

Ответы

Ответ дал: Daniil6132
1

Ответ:

9. Р=2а+2b=>

2a=12-2b

a=(12-2b):2

a=2(6-b):2

a=6-b

Тогда чтобы найти сторону а, b должно быть меньше 6

Ответ дал: Izatullo
2

Ответ:

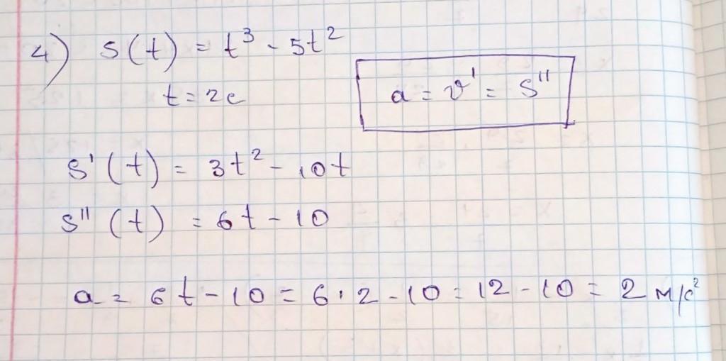
Решение 2 & 4 на фото......

Приложения:
Вас заинтересует