• Предмет: Математика
  • Автор: vchnd
  • Вопрос задан 3 года назад

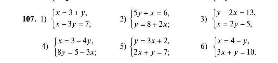
решите систему уравнений способом постановки . срочно пожалуйста​

Приложения:

Ответы

Ответ дал: Katya211399
1

Відповідь:

Покрокове пояснення:

Приложения:
Вас заинтересует