• Предмет: Алгебра
  • Автор: dfdryftdt
  • Вопрос задан 3 года назад

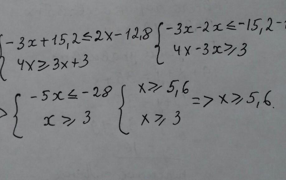
Решите систему неравенств:
{-3х+15,2≤2х-12,8
{4х≥3х+3

Ответы

Ответ дал: TamillaAmirbeyova
1

Ответ:

........................

Приложения:
Ответ дал: NikAnastasia
0

{-3х+15,2≤2х-12,8

{4х≥3х+3

>28/5

>3

х∈[28/5;+∞)

Вас заинтересует