Ответы
Ответ дал:
1
Если я смог тебе помочь ставь класс, либо лучший ответ :)
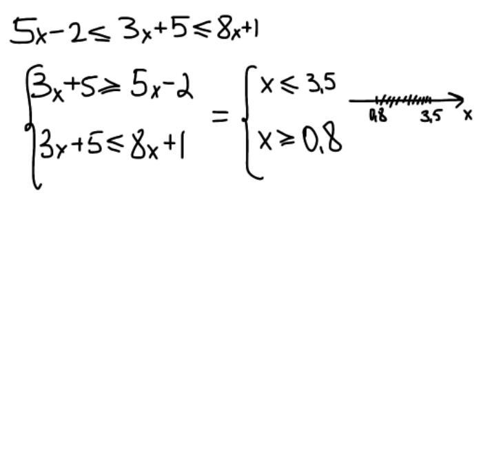
Приложения:

Вас заинтересует
2 года назад
2 года назад
2 года назад
8 лет назад
8 лет назад
9 лет назад
9 лет назад