• Предмет: Математика
  • Автор: rozenkoandrej10
  • Вопрос задан 3 года назад

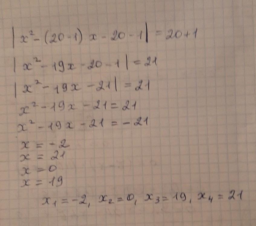
помогите решить пример, вместо N=20, дам много балов​

Приложения:

Ответы

Ответ дал: treasury8352
1

Ответ:

...........................

Приложения:

rozenkoandrej10: спасибо большое
Вас заинтересует