• Предмет: Математика
  • Автор: romakolesnikov09
  • Вопрос задан 3 года назад

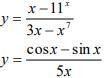
помогите найти производные

Приложения:

Ответы

Ответ дал: kirillshulzhik
0

Решать не буду, не красиво, но в чём проблема (c/u)' = (c'u-u'c)/v2

производная x=1, 11x=11xln11, 3x - 3, x7 =7x6, cosx=-sinx, sinx=cosx,5x=5. Дерзай

Вас заинтересует