• Предмет: Математика
  • Автор: aaa03
  • Вопрос задан 3 года назад

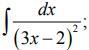
Найти неопределенные интегралы.

Приложения:

Ответы

Ответ дал: Miroslava227
1

Ответ:

 \int\limits \frac{dx}{ {(3x - 2)}^{2} }  \\  \\ 3x - 2 = t \\ 3dx = dt \\ dx =  \frac{dt}{3}  \\  \\  \frac{1}{3}  \int\limits \frac{dt}{t {}^{2} }  =  \frac{1}{3}  \times  \frac{ {t}^{ - 1} }{( - 1)} +  C =  -  \frac{1}{3t}  + C=  \\  =  -  \frac{1}{3(3x - 2)}  + C =  -  \frac{1}{9x - 6}  + C

Вас заинтересует