• Предмет: Математика
  • Автор: aaa03
  • Вопрос задан 3 года назад

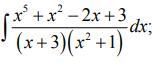
Найти неопределенные интегралы.

Приложения:

Ответы

Ответ дал: Miroslava227
1

Ответ:

 \int\limits  \frac{ {x}^{5} +  {x}^{2}   - 2x + 3}{(x + 3)( {x}^{2}  + 1)} dx =  \int\limits \frac{ {x}^{5}  +  {x}^{2}  - 2x + 3}{ {x}^{3}  + 3 {x}^{2}  + x + 3} dx \\

числитель больше знаменателя, выделим целую часть:

 \int\limits( {x}^{2}  - 3x + 8 -  \frac{23 {x}^{2} + x + 21 }{(x + 3)( {x}^{2} + 1) } )dx =  \\  =  \int\limits( {x}^{2}  - 3x + 8)dx -  \int\limits \frac{23 {x}^{2} + x + 21 }{(x + 3)( {x}^{2}  + 1)} dx \\  \\ 1) \int\limits( {x}^{2}  - 3x + 8)dx =  \frac{ {x}^{3} }{3}  -  \frac{3 {x}^{2} }{2}  + 8x + c \\  \\ 2) \int\limits \frac{23 {x}^{2} + x + 21 }{(x + 3)( {x}^{2} + 1) } dx

Разложим на простейшие дроби:

 \frac{23 {x}^{2}  + x + 21}{(x + 3)( {x}^{2} + 1) }  =  \frac{A}{x + 3}  +  \frac{Bx + C}{ {x}^{2} + 1 }  \\ 23 {x}^{2}  + x + 21 = A {x}^{2}  + A + (Bx + C)(x + 3) \\ 23 {x}^{2}  + x + 21 = A {x}^{2}  + A + B {x}^{2}  + 3Bx + Cx + 3C \\  \\ 23 = A+ B \\ 1 = 3B + 3C \\ 21 = A + 3C \\  \\ A= \frac{45}{2}   \\ B  =  \frac{1}{2} \\ C =  -  \frac{1}{2}  \\  \\  \\  \frac{1}{2} ( \int\limits \frac{45dx}{x + 3}  +  \int\limits \frac{x - 1}{ {x}^{2}  + 1} dx) =  \\  =  \frac{45}{2}  \int\limits \frac{d(x + 3)}{x + 3}  +  \frac{1}{2}  \int\limits \frac{xdx}{ {x}^{2}  + 1}  -  \frac{1}{2}  \int\limits \frac{dx}{ {x}^{2} + 1 }  =  \\  =  \frac{45}{2} ln |x + 3|  +  \frac{1}{4}  \int\limits \frac{2xdx}{ {x}^{2} + 1 }  -  \frac{1}{2} arctgx  \\  =  \frac{45}{2} ln | x+ 3| +  \frac{1}{4}  \int\limits \frac{d( {x}^{2} + 1) }{ {x}^{2} + 1 } -  \frac{1}{2}  arctgx + C =  \\  =  \frac{45}{2} ln |x + 3|  +  \frac{1}{4} ln | {x}^{2} + 1 |  -  \frac{1}{2} actgx +C\\  \\ \text{Получаем} \\  \frac{ {x}^{3} }{3}  -  \frac{3 {x}^{2} }{2}  + 8x  -  \frac{45}{2} ln |x + 3|  -  \frac{1}{4}  ln | {x}^{2}   +  1|   +  \frac{1}{2} arctgx + C

Вас заинтересует