Ответы
Ответ дал:
0
Ответ:
d(108 * [x^2] * (9 * [x^3] + 5)^3)/dx
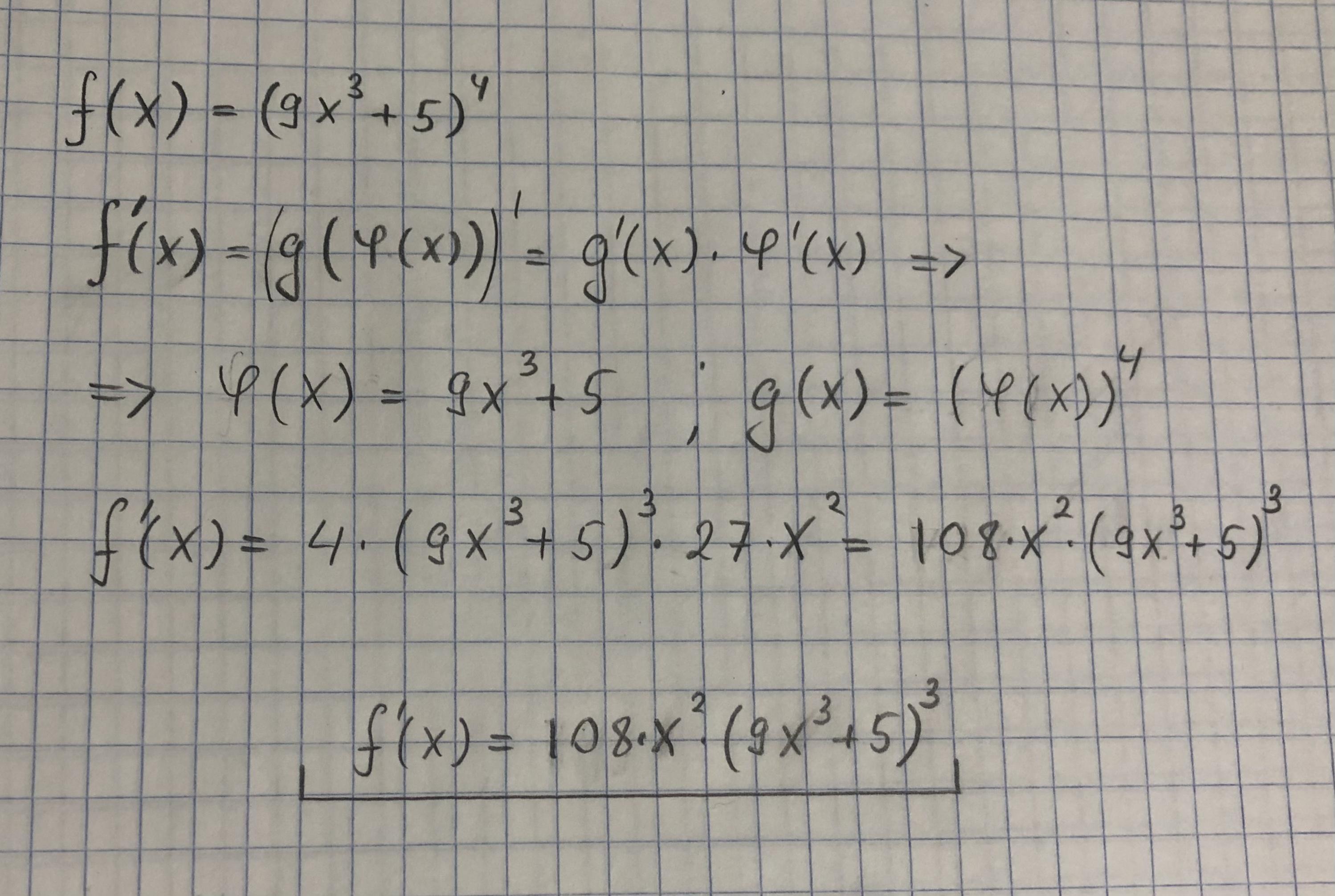
Решение приведено ниже:
Приложения:

Вас заинтересует
2 года назад
2 года назад
2 года назад
8 лет назад
9 лет назад
9 лет назад