• Предмет: Математика
  • Автор: Ranvan
  • Вопрос задан 10 лет назад

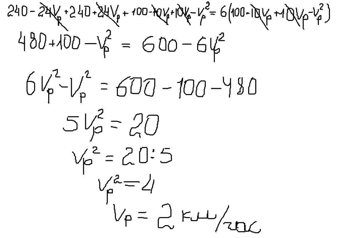
Катер вышел из пункта A в 11.00, и, пройдя вних по течению реки 24 км, прибыл в пункт D. Сделав остановку на 1 час, катер вернулся обратно в пункт A в 17.00 того же дня. Определите скорость реки, если собственная скорость равна 10 км/час.

Ответы

Ответ дал: ireena
0
Скорость течения реки 2км/час
Приложения:
Вас заинтересует