Ответы
Ответ дал:
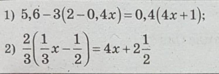
1
Ответ:
Держи, надеюсь помогла тебе
Приложения:

Вас заинтересует
2 года назад
2 года назад
8 лет назад
8 лет назад
9 лет назад