• Предмет: Алгебра
  • Автор: masha1205200598
  • Вопрос задан 3 года назад

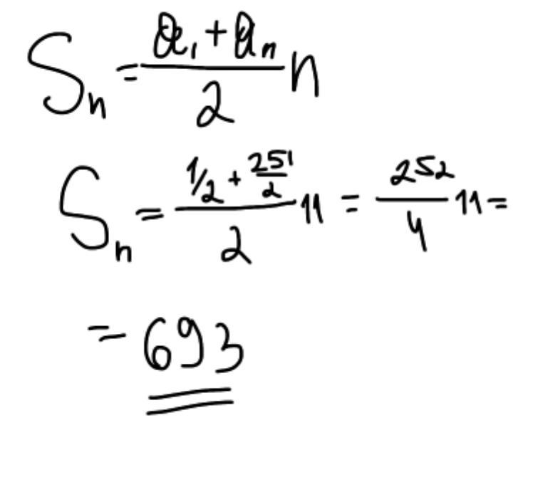
Найти сумму nпервых членов арифметической прогрессии,если: a1=1/2, an=251/2,n=11

Ответы

Ответ дал: KhazhmetovOV
2
Если я смог тебе помочь ставь «класс» или «лучший ответ»

Решение:
Приложения:
Вас заинтересует