• Предмет: Алгебра
  • Автор: vsepovzlomu1
  • Вопрос задан 3 года назад

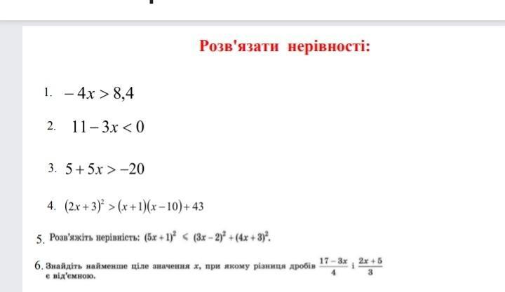
СРОЧНО ПОЖАЙЛУСТА РЕБЯТА!!! НУЖНО СЕГОДНЯ СДАТЬ

Приложения:

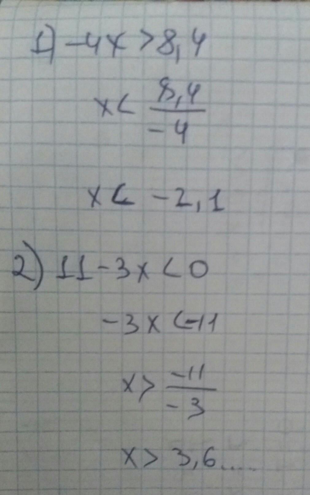
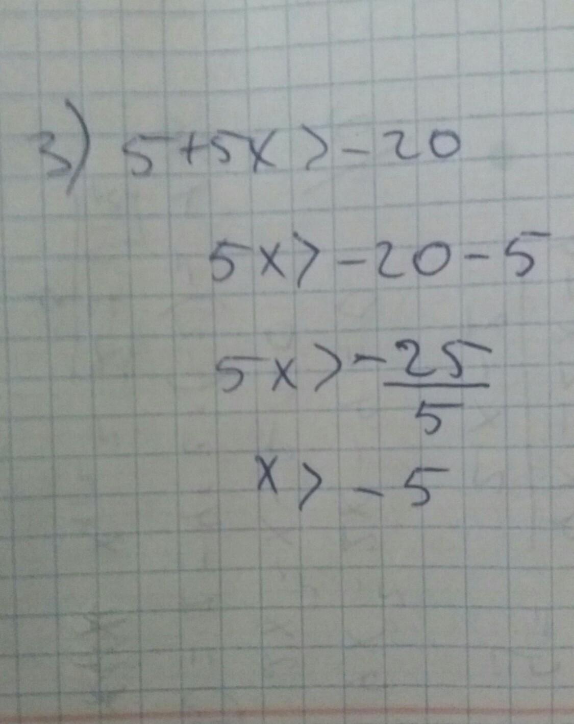
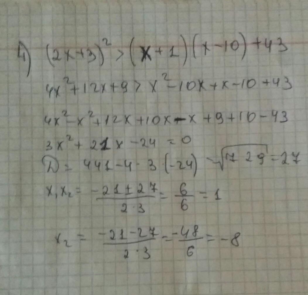
Ответы

Ответ дал: nafisanurullaeva
1

Объяснение:

.................

..........

Приложения:

vsepovzlomu1: МОЖЕТ КТО-ТО ЗНАЕТ 4-6 ?(
nafisanurullaeva: 4 знаю 6 не знаю
vsepovzlomu1: ОК КИДАЙ 4 БРАТАН
vsepovzlomu1: ПЖ
nafisanurullaeva: Я девочка бро
nafisanurullaeva: отправила
nafisanurullaeva: кстати ты мой подчерк понимаешь?
vsepovzlomu1: да спасибо большое люблю тебя
nafisanurullaeva: пожалуйста
nafisanurullaeva: пожалуйста
Вас заинтересует