• Предмет: Математика
  • Автор: Аноним
  • Вопрос задан 3 года назад

Даю 15 баллов пж срочно

Приложения:

Ответы

Ответ дал: papagenius
1

Решение и ответ:

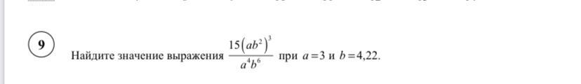
\displaystyle \frac{{15{{\left({a{b^2}} \right)}^3}}}{{{a^4}{b^6}}}=\frac{{15{a^{1 \cdot 3}}{b^{2 \cdot 3}}}}{{{a^4}{b^6}}}=\frac{{15{a^3}{b^6}}}{{{a^4}{b^6}}}=\frac{{15}}{a}

при a = 3 и b = 4.22

\displaystyle \frac{15}{a}=\frac{15}{3}=\boxed{5}

Ответ: 5.

Вас заинтересует