• Предмет: Физика
  • Автор: feedgiupqtwb
  • Вопрос задан 3 года назад

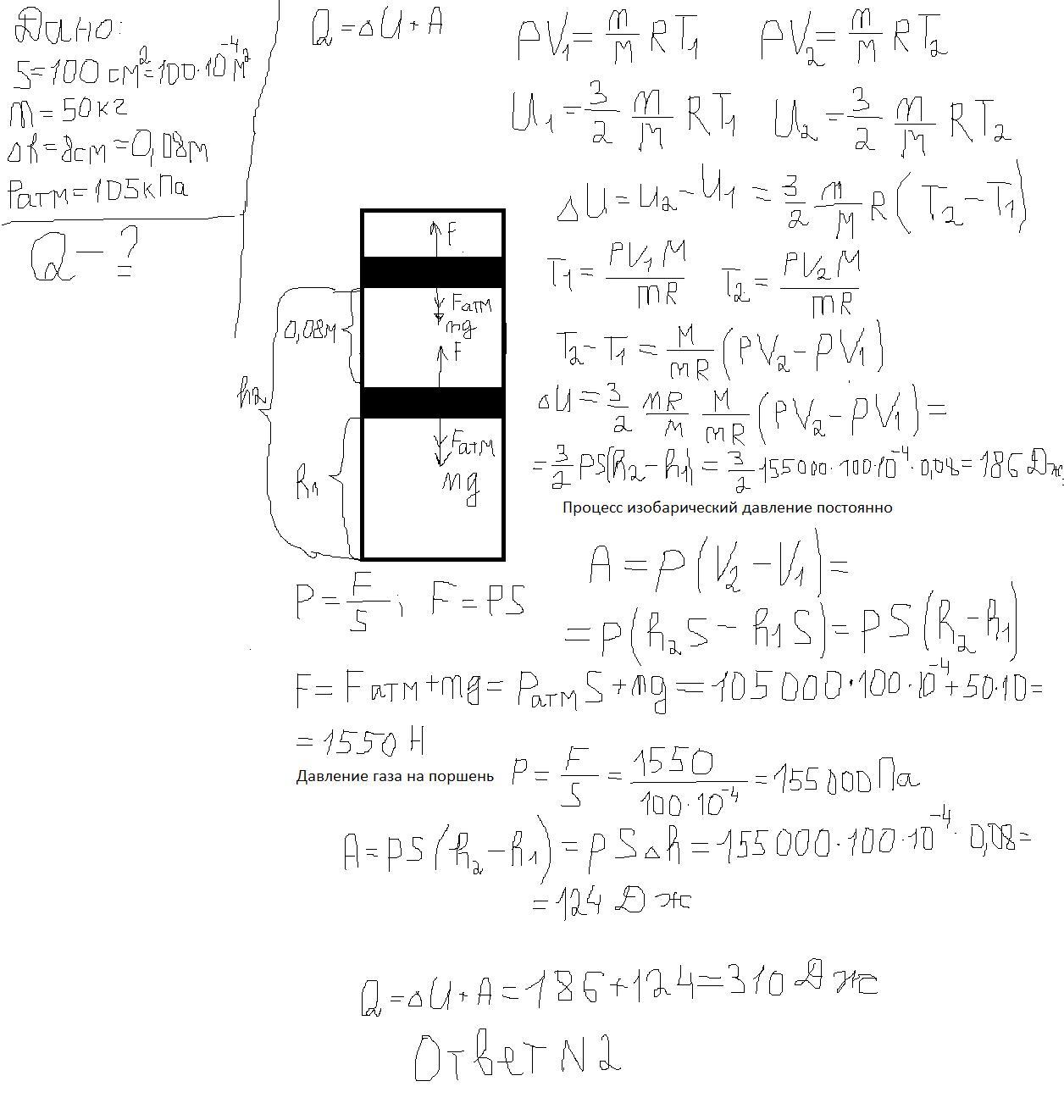
В вертикальном открытом цилиндре c площадью основания 100 см2 на некоторой высоте находится поршень массой 50 кг, под которым имеется идеальный одноатомный газ. Какое количество теплоты необходимо сообщить газу, чтобы поршень поднялся на 8 см? Атмосферное давление 105 Па. Поршень скользит внутри цилиндра без трения.
1) 300 Дж 2) 310 Дж 3) 320 Дж 4) 330 Дж 5) 340 Дж
Подробно с ДАНО и Решением

Ответы

Ответ дал: ssroman72
0

Ответ:

решение с ответом на картинке

Объяснение:

Приложения:
Вас заинтересует