• Предмет: Математика
  • Автор: spuzik
  • Вопрос задан 3 года назад

СРОЧНО ПОМОГИТЕ ДАЮ 50 баллов

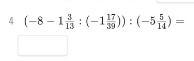
Приложения:

Ответы

Ответ дал: Damban
1

Ответ:

 \frac{4}{3}

или 1,3

Вас заинтересует