• Предмет: Математика
  • Автор: Inna1813
  • Вопрос задан 3 года назад

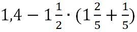
Найдите значение выражения:

Приложения:

Ответы

Ответ дал: Katya211399
1

Відповідь: -1

Покрокове пояснення:

Деталі на фото прикріплене внизу

Приложения:

Inna1813: прости
Вас заинтересует