• Предмет: Алгебра
  • Автор: sofavasileva108
  • Вопрос задан 3 года назад

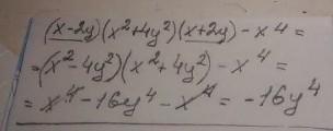
(х-zy)(x²+4y²)(x+2y)-x⁴=​


JeinTyan: Там точно z в первой скобке?
sofavasileva108: а ой, там 2
JeinTyan: Воот, ок

Ответы

Ответ дал: olgaprokofeva0403
1

Объяснение:

ответ в фото смотри

надо ещё что нибудь написать чтобы отпрввить

Приложения:
Ответ дал: JeinTyan
1

Ответ: -16y^4

Объяснение: на фото

Приложения:
Вас заинтересует