• Предмет: Математика
  • Автор: marina0kim
  • Вопрос задан 3 года назад

Помогите, пожалуйста, решить:

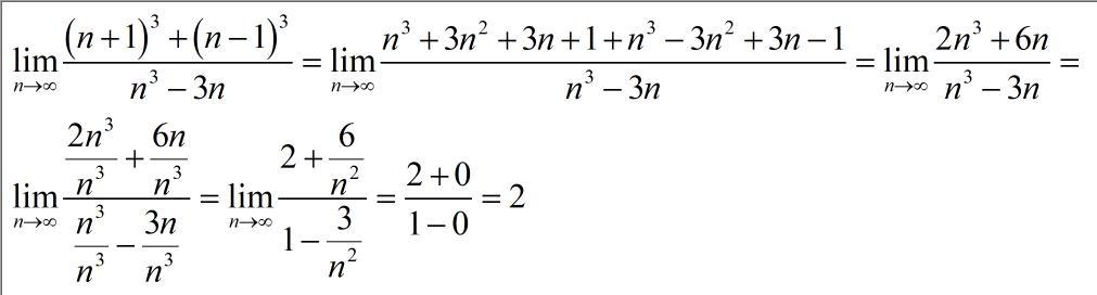
lim n→x ((n+1)^3+(n-1)^3)/(n^3-3n)

Приложения:

Ответы

Ответ дал: palilov243659
0

Ответ:

2

Пошаговое объяснение:

/////////////////////

Приложения:
Вас заинтересует