• Предмет: Алгебра
  • Автор: sergeireim06
  • Вопрос задан 3 года назад

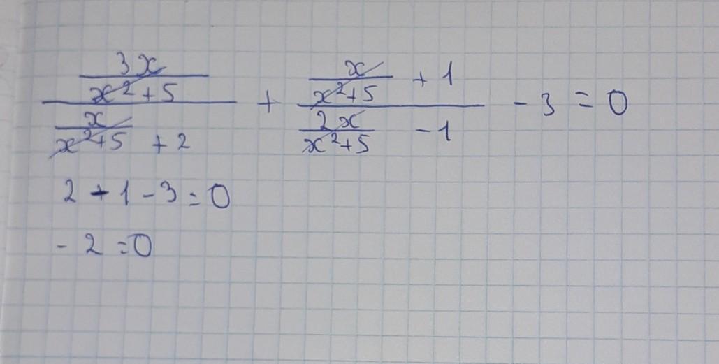
Срочно решите уравнение, даю все баллы

Приложения:

Ответы

Ответ дал: olesssyyaaaaa
1

Ответ:

надеюсь ето правильно)))

Приложения:
Вас заинтересует