ЗАДАЧА 1. У человека преимущественное владение правой рукой (правша) доминирует,
над владением левой рукой (левша). Какова вероятность рождения ребенка левши у
женщины-правши, отец которой был левшой, и мужчины – левши
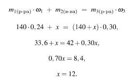
ЗАДАЧА 2. Имеется 140 г 20%-го раствора вещества. Из него надо получить 30%-й
раствор. Сколько граммов чистого вещества требуется добавить? Ответ округлите до
ближайшего целого числа.
Ответы
Ответ дал:
7
Ответ:
Решения в прикрепленных файлах
Приложения:


Вас заинтересует
2 года назад
2 года назад
8 лет назад
8 лет назад
9 лет назад
9 лет назад