• Предмет: Алгебра
  • Автор: lebedevaanyutka
  • Вопрос задан 10 лет назад

решите уравнение.Пожалуйста срочно надо)

Приложения:

Ответы

Ответ дал: Marymarymary18
0
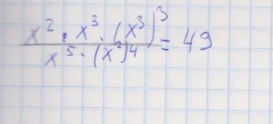
 frac{x^2*x^3*(x^3)^3}{x^5*(x^2)^4} =49
 frac{x^5*x^9}{x^5*x^8} =49
x^14/x^13=49
x^1=49
x=49
Вас заинтересует