Ответы
Ответ дал:
1
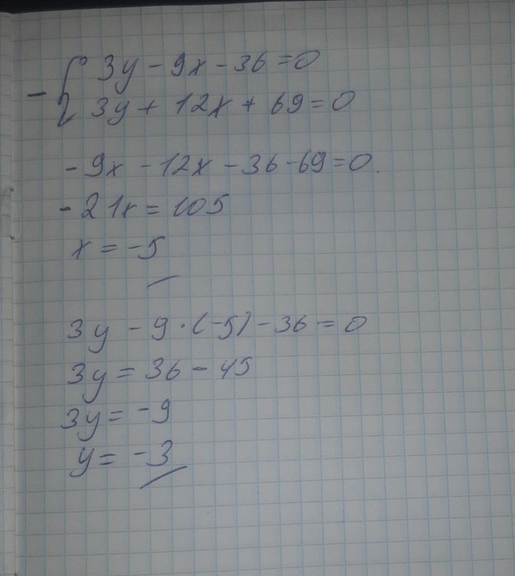
Ответ: ответ в фото
Объяснение:
Приложения:

Аноним:
спасибо)
Ответ дал:
1
Перед 69 во втором уравнении «-» или «+» ???
ЕСЛИ МИНУС:
выразим у из первого уравнения:
3у=36+9х
у= (36+9х) / 3
подставим во второе:
(36+9х) / 3 * 3 + 12х - 69 = 0
36+9х + 12х - 69 = 0
21х = 69-36
21х = 33
х = 33/21 = 11/7
найдём у:
у= (36 + 9*11/7) / 3
у = 117/7
ответ: х= 11/7; у= 117/7
ЕСЛИ ПЛЮС:
выразим у из первого уравнения:
3у=36+9х
у= (36+9х) / 3
подставим во второе:
(36+9х) / 3 * 3 + 12х + 69 = 0
36+9х + 12х + 69 = 0
21х = -69-36
21х = -105
х = -105/21 = -5
найдём у:
у = (36+9*(-5))/3
у= (36-45)/3
у= -9/3
у= -3
Ответ: х= -5; у= -3.
ЕСЛИ МИНУС:
выразим у из первого уравнения:
3у=36+9х
у= (36+9х) / 3
подставим во второе:
(36+9х) / 3 * 3 + 12х - 69 = 0
36+9х + 12х - 69 = 0
21х = 69-36
21х = 33
х = 33/21 = 11/7
найдём у:
у= (36 + 9*11/7) / 3
у = 117/7
ответ: х= 11/7; у= 117/7
ЕСЛИ ПЛЮС:
выразим у из первого уравнения:
3у=36+9х
у= (36+9х) / 3
подставим во второе:
(36+9х) / 3 * 3 + 12х + 69 = 0
36+9х + 12х + 69 = 0
21х = -69-36
21х = -105
х = -105/21 = -5
найдём у:
у = (36+9*(-5))/3
у= (36-45)/3
у= -9/3
у= -3
Ответ: х= -5; у= -3.
Вас заинтересует
2 года назад
2 года назад
8 лет назад
8 лет назад
9 лет назад