• Предмет: Алгебра
  • Автор: Аноним
  • Вопрос задан 10 лет назад

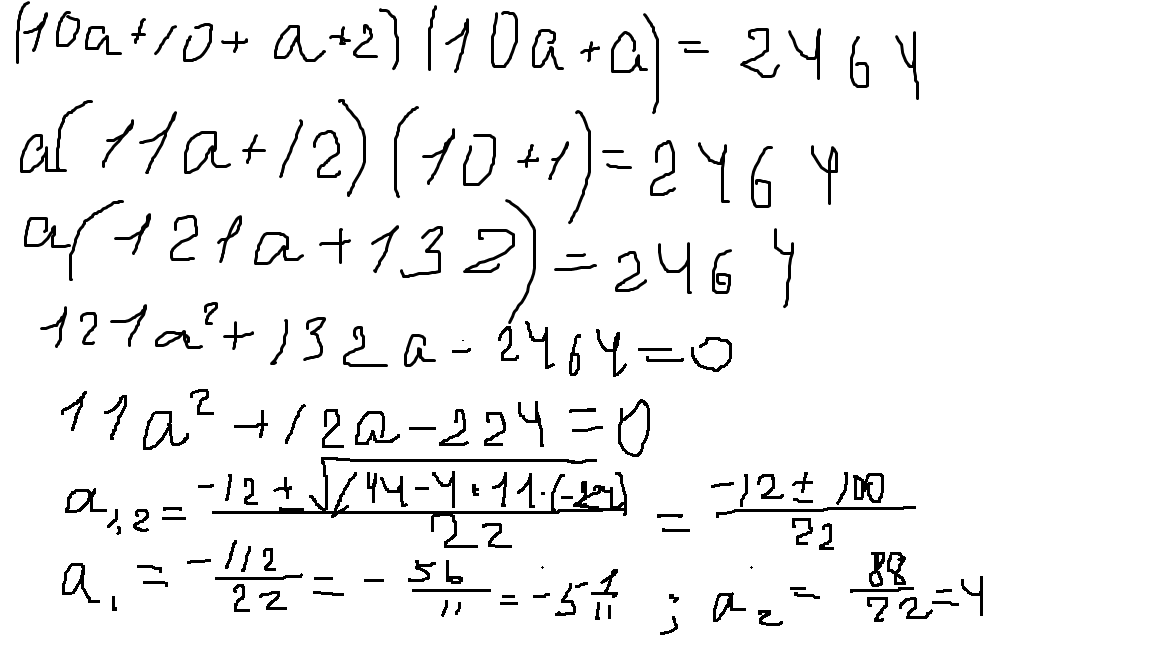
Помогите решить квадратичное уравнение.
(10(a + 1) + (a + 2))(10a + a) = 2464 

Ответы

Ответ дал: АллаАфанасьева
0
(10а+12+а)(10а+а)=100а^2+10а^2+120а+12а+10а^2+а^2=121а^2+132а=11а(11а+12)=а(11а+12) как дальше не знаю
Ответ дал: Ekaterina1819
0
Получится вот так :)
Приложения:
Вас заинтересует