• Предмет: Алгебра
  • Автор: Дима203324
  • Вопрос задан 3 года назад

помогите пожалуйста!!! ДАЮ 30 БАЛЛОВ!!!
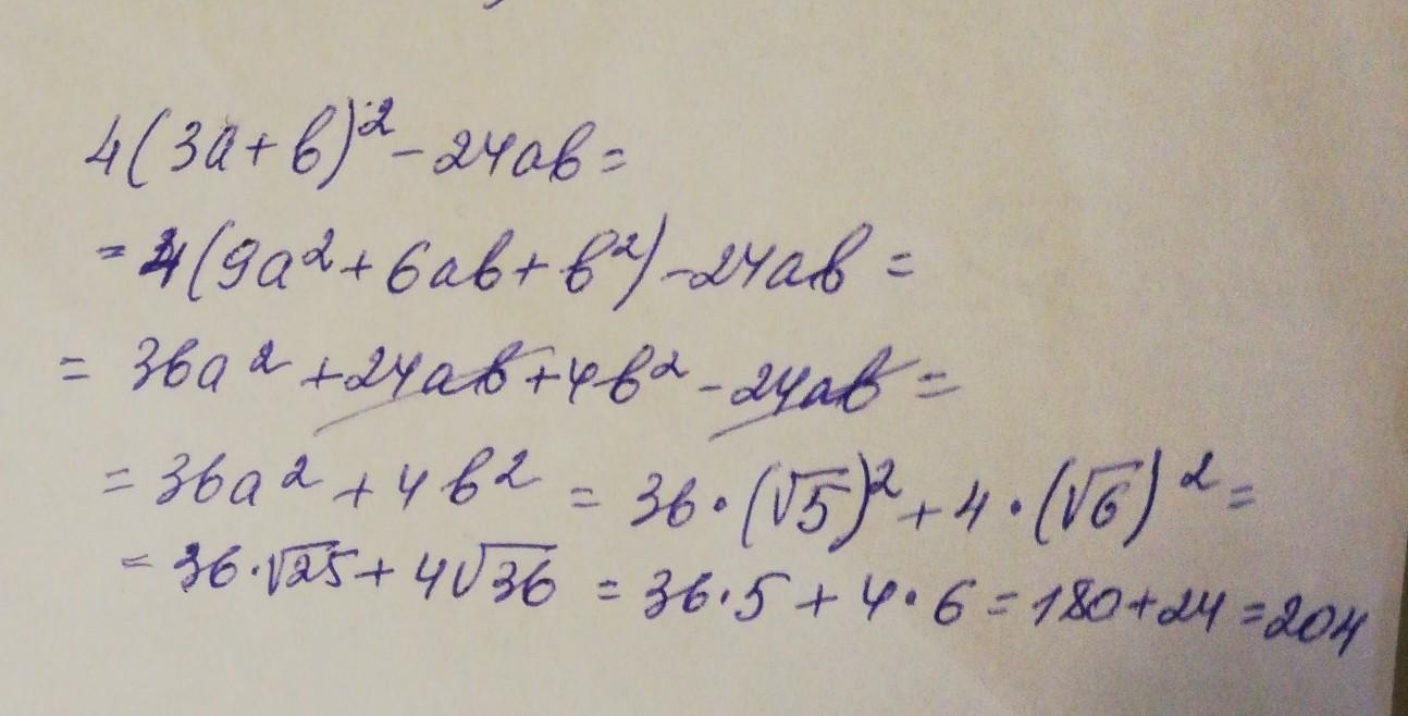
найти значение выражения 4(3а+b)^2-24ab, при a=корень из 5, b= корень из 6

Ответы

Ответ дал: serovaksusa1
3

Ответ:

204

Смотри решение на фото

Приложения:
Вас заинтересует