• Предмет: Алгебра
  • Автор: nigolatijlina
  • Вопрос задан 3 года назад

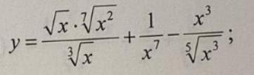
Знайдіть похідні функції / Найдите производные функции

Приложения:

Ответы

Ответ дал: NNNLLL54
1

Ответ:

y=\dfrac{\sqrt{x}\cdot \sqrt[7]{x^2}}{\sqrt[3]{x}}+\dfrac{1}{x^7}-\dfrac{x^3}{\sqrt[5]{x^3}}\\\\\\y=x^{\frac{1}{2}+\frac{2}{7}-\frac{1}{3}}+x^{-7}-x^{3-\frac{3}{5}}\\\\\\y=x^{\frac{19}{42}}+x^{-7}-x^{\frac{12}{5}}\\\\\\y'=\dfrac{19}{42}\cdot x^{-\frac{23}{42}}-7x^{-8}-\dfrac{12}{5}\cdot x^{\frac{7}{5}}=\dfrac{19}{42\sqrt[42]{x^{23}}}-\dfrac{7}{x^8}-\dfrac{12}{5\sqrt[5]{x^7}}


nigolatijlina: Спасибо большое
Вас заинтересует