• Предмет: Алгебра
  • Автор: krasnyjglaz3
  • Вопрос задан 3 года назад

помогите пожалуйста!!!! Быстрей ​

Приложения:

Аноним: ща бро жди помогу
krasnyjglaz3: спс

Ответы

Ответ дал: keyro
1

Ответ:

Объяснение:

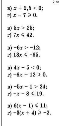
В) x < -2,5

Г) x≥7

В) x>5

Г)x≤6

В)x<2

Г)x≤-5

В)x<\frac{5}{4}

Г)x≤2

В)x<-5

Г)x≥-27

В)x≤\frac{17}{6}

Г)x≤-


krasnyjglaz3: спасибо огромное ты меня спас
keyro: Пожалуйста
Вас заинтересует