• Предмет: Математика
  • Автор: Surush5
  • Вопрос задан 3 года назад

3 уравнение с проверкой плис​

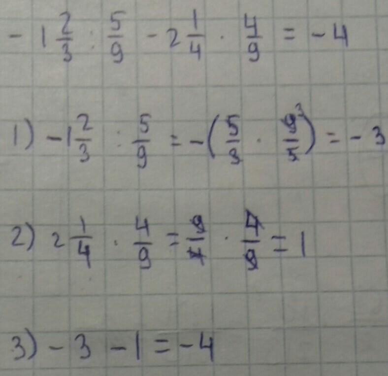
Приложения:

Ответы

Ответ дал: rafaeltemirgaliev16
1

Пошаговое объяснение:

...........$.$..'.п.п.п

второй

Приложения:

Surush5: а 2
rafaeltemirgaliev16: ок
rafaeltemirgaliev16: подожди
Surush5: ок
rafaeltemirgaliev16: все вон я редактировал и второй скинул
Surush5: спс тоже
Ответ дал: EpicSans08
1

Ответ:

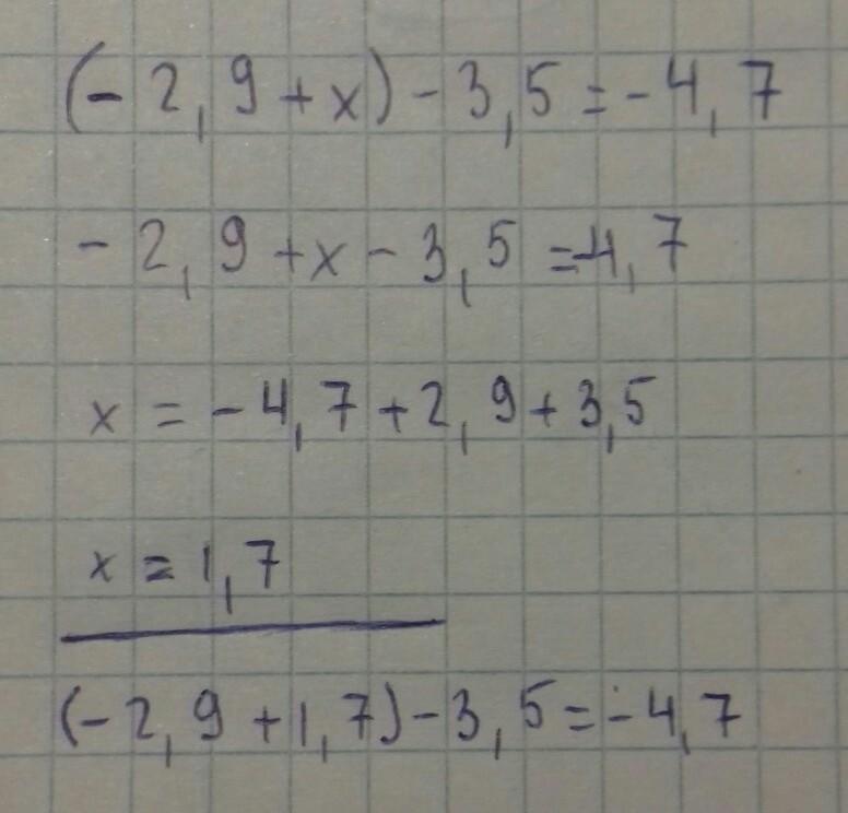
Ответ на фото

Пошаговое объяснение:

Ответ на фото

Приложения:

Surush5: а 2
EpicSans08: все
EpicSans08: прикрепила
Surush5: спс
EpicSans08: не за что
Вас заинтересует