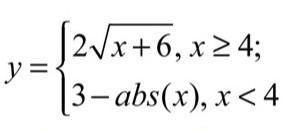
напишите программу, которая , используя оператор while, вычисляет и выводит на экран значения функции: (фото)
для значений аргумента х от х1 до х2 с шагом ∆х.
язык Паскаль.
Приложения:

Ответы
Ответ дал:
1
Ответ:
вот надеюсь решение правильное...
Приложения:

lera67609:
в любом случае спасибо)
Вас заинтересует
2 года назад
2 года назад
2 года назад
2 года назад
8 лет назад
8 лет назад