• Предмет: Алгебра
  • Автор: ryslan79
  • Вопрос задан 3 года назад

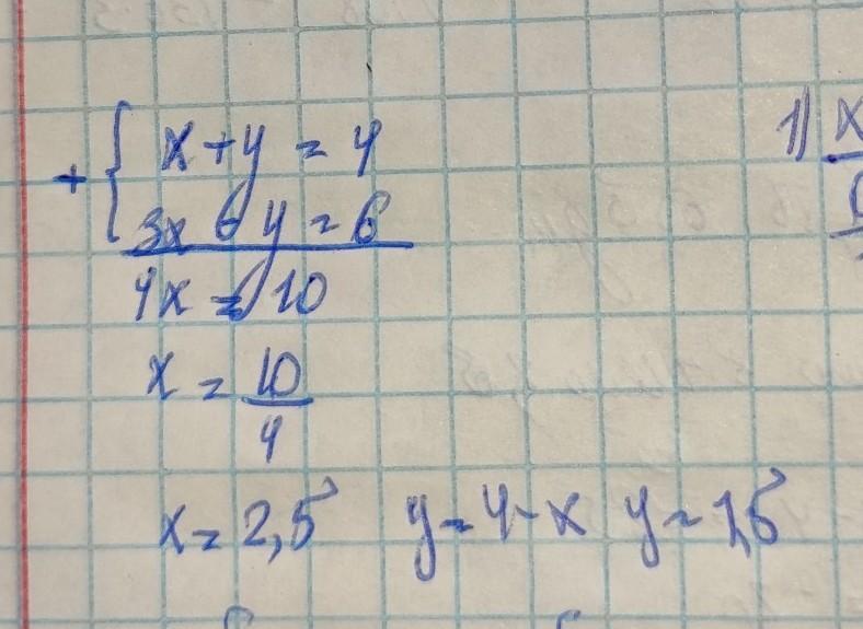
Розв‘яжіть систему рівнянь x+y=4;
3x-y=6 способом додавання​


ryslan79: ой способом підстановки

Ответы

Ответ дал: anuapolina08
6

Ответ:Це метод підстановки

Пояснення до завдання на фото

А наступне фото метод додавання

Помилка виправлена

Приложения:

anuapolina08: Підстановки чи додавання?
anuapolina08: там 2 варіанти розв'язання
Вас заинтересует