Ответы
Ответ дал:
0
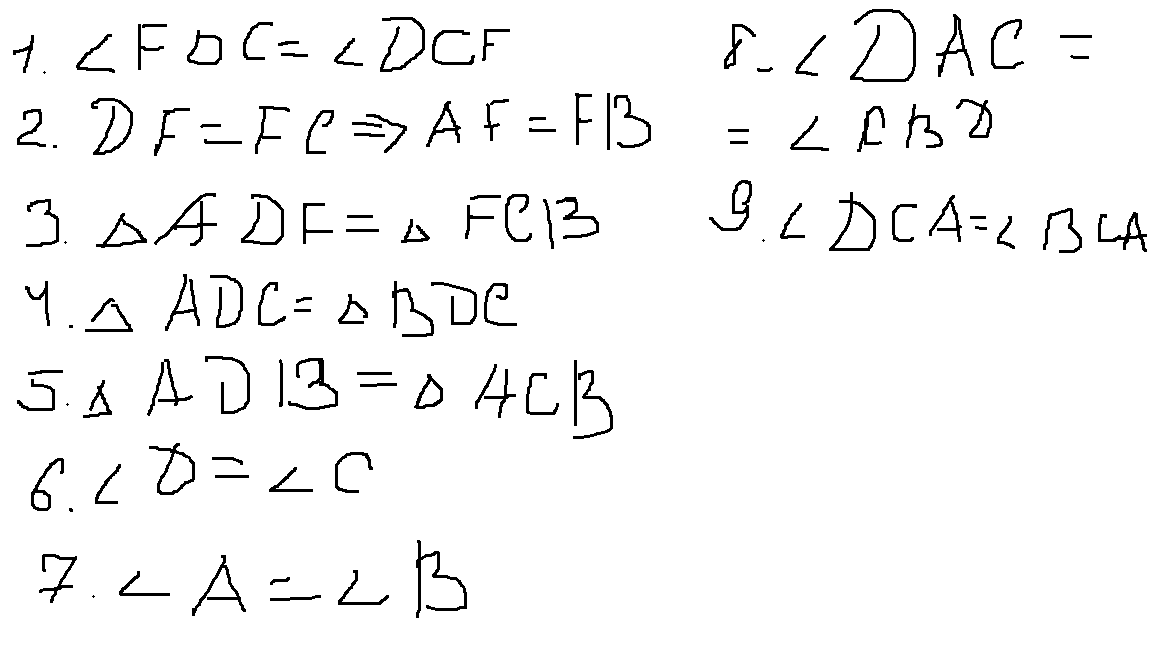
1. так как стороны равны по условию.
2. это следует из условия, раз большие отрезки равны, то если вычесть из них равные, другие будут тоже равные.
3. равен по двум сторонам и углу между ними
4. равен тоже по двум сторонам и углу между ними
5. равен по 3 сторонам
6-9-потому что треугольники равны, из этого и следует, что углы равны.
2. это следует из условия, раз большие отрезки равны, то если вычесть из них равные, другие будут тоже равные.
3. равен по двум сторонам и углу между ними
4. равен тоже по двум сторонам и углу между ними
5. равен по 3 сторонам
6-9-потому что треугольники равны, из этого и следует, что углы равны.
Приложения:

Вас заинтересует
2 года назад
8 лет назад
10 лет назад
10 лет назад