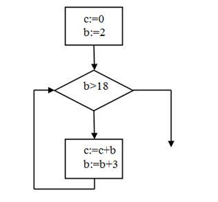
Определите значение переменной с после выполнения фрагмента алгоритма, записанного в виде блок-схемы:
Примечание: знаком «:=»обозначена операция присваивания.
В ответе укажите одно число — значение переменной с.
Приложения:

Ответы
Ответ дал:
1
Ответ:
57
Объяснение:
ввел в интерпретаторе
Вас заинтересует
2 года назад
2 года назад
2 года назад
8 лет назад
9 лет назад