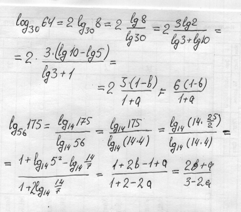
Выразить log 64 по основанию 30 через числа а=lg3 и b=lg5
Выразить log 56 по основанию 175 через числа a=log 7 по основанию 14 и b=log 5 по основанию 14
Ответы
Ответ дал:
0
Решение:
Смотри вложение:.....
Смотри вложение:.....
Приложения:

Вас заинтересует
8 лет назад
8 лет назад
10 лет назад
10 лет назад
10 лет назад