• Предмет: Алгебра
  • Автор: hahah786a
  • Вопрос задан 3 года назад

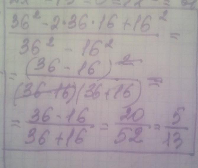
Вычислить. Применяя формулы сокращённого умножения
36^2-2*36*16+16^2/36^2-16^2

Ответы

Ответ дал: manyny06
1

Ответ:

решение смотри на фотографии

Приложения:
Вас заинтересует