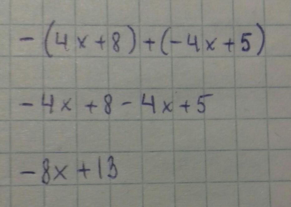
Спростіть вираз: - (4х +8) + (- 4х + 5)
8x + 13 - Вариант А
-8x + 3 - Вариант Б
13 - Вариант В
8X-3 - Вариант Г
Ответы
Ответ дал:
1
Ответ:
скорее всего вариант б
Пошаговое объяснение:
Решение на фото
Приложения:

Itsme008:
а как ты отправил фото?
Вас заинтересует
2 года назад
2 года назад
2 года назад
8 лет назад
8 лет назад
9 лет назад