• Предмет: Алгебра
  • Автор: nonamevigo
  • Вопрос задан 3 года назад

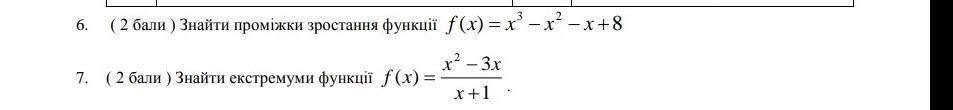
7 задание помогите!!!!!!!!!!!​

Приложения:

Ответы

Ответ дал: dobra888
0

Ответ:

Объяснение:

f(x) = ( x²- 3x )/( x + 1 ) ;    D( f ) = R , крім  x = - 1 .

f '(x) = [ ( 2x - 3 )( x + 1 ) -( x² - 3x)*1 ]/( x + 1 )² =( 2x²+2x - 3x -3- x²+3x)/( x + 1)² =

= ( x² + 2x - 3 )/( x + 1 )² = ( x + 3 )( x - 1 )/( x + 1 )² ;

            f '(x) = ( x + 3 )( x - 1 )/( x + 1 )² ;

f '(x) = 0 ;    ( x + 3 )( x - 1 )/( x + 1 )² = 0 ;      

x ₁= - 3 ;  x₂= 1 ;  -  критичні точки

f '(- 4) > 0 ;      f '(- 2) < 0 ;         f '( 0 ) < 0 ;            f '( 4 ) > 0 .

x = - 3 - максимум ;  f(- 3 ) = ( (- 3)²-3*(-3))/( -3 + 1 ) = - 9 ;     ( -3 ; - 9 ) ;

х = 1  -  мінімум ;        f(1 ) = ( 1²-3*1)/( 1 + 1 ) = - 1 ;      ( 1 ; - 1 ) .

Вас заинтересует