• Предмет: Алгебра
  • Автор: nonameeee2344555
  • Вопрос задан 3 года назад

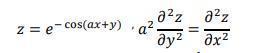
Дана функция z=f(x; y). Проверить, удовлетворяет ли эта функция данному уравнению

Приложения:

Ответы

Ответ дал: heirrowh2718
0

Объяснение:

Дам 100 балл помогите плиз

Мы выбираем спорт урок 1

Соотнеси слова и их значение в предложениях

Количество связей:4

Врач рекомендовал пациенту носить очки

Спортсмены набрали очки в командной игре.

Спорт воспитывает дисциплину.

В школе изучают такие дисциплины,как математика,география,биология,языки и т.д

Вас заинтересует