• Предмет: Алгебра
  • Автор: izabella321
  • Вопрос задан 3 года назад

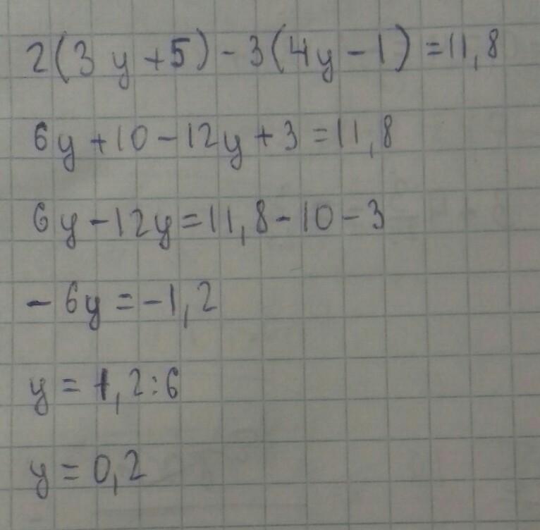
2(3y+5)-3(4y-1)=11,8
Рівняння

Ответы

Ответ дал: EpicSans08
1

Ответ:

Ответ: 0,2

Объяснение:

Решение на фото

Приложения:
Вас заинтересует