• Предмет: Математика
  • Автор: BuRuRuNdUk
  • Вопрос задан 10 лет назад

помогите решить плиз я не пойму как решить

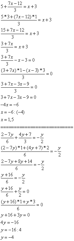
5+ frac{7x-12}{3}=x+3
 frac{2-7y}{6}+ frac{4y+7}{3}= -frac{y}{2}

Ответы

Ответ дал: ЛинкЭ
0
Вот так что ли..
Очень давно подобное не решала.
Приложения:
Ответ дал: triolana
0
================================
Приложения:
Ответ дал: ЛинкЭ
0
Почему во втором примере после конца дробных выражений нет знаменателя, а сокращение не проведено? Ты же просто так убрала его.
Вас заинтересует